Simulado de Ciências da Natureza e suas Tecnologias (ENEM 2021)
Este simulado gratuito reúne 45 questões oficiais do ENEM 2021 da prova de Ciências da Natureza e suas Tecnologias.
Pratique, revise conceitos e teste estratégias de resolução em conteúdos de Biologia, Física e Química, exatamente como aparecem no exame real.
Mas não pare por aqui. Siga estudando para o ENEM com mais simulados com questões de Ciências da Natureza.
Atenção às regras do simulado
- 4545 questões
- Duração máxima de 2h 30min
- Seu resultado e o gabarito ficarão disponíveis ao finalizar o simulado
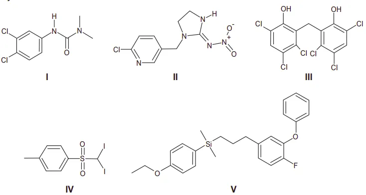
Questão 1
A deficiência de lipase ácida lisossômica é uma doença hereditária associada a um gene do cromossomo 10. Os pais dos pacientes podem não saber que são portadores dos genes da doença até o nascimento do primeiro filho afetado. Quando ambos os progenitores são portadores, existe uma chance, em quatro, de que seu bebê possa nascer com essa doença.
ANDERSON, R. A. et. al. In: Situ Localization of the Genetic Locus Encoding the Lysosomal Acid Lipase/Cholesteryl Esterase (LIPA) Deficient in Wolman Disease to Chromosome 10q23.2-q23.3. Genomics, n. 1, jan. 1993 (adaptado).
Essa é uma doença hereditária de caráter
Questão 2
O quadro lista alguns dispositivos eletrônicos que estão presentes no dia a dia, bem como a faixa de força eletromotriz necessária ao seu funcionamento.

Considere  que  uma  bateria  é construída pela associação em série de três pilhas de lítio-iodo, nas
condições-padrão, conforme as semiequações de redução apresentadas.
Essa bateria é adequada para o funcionamento de qual dispositivo eletrônico?
Questão 3
O alcoolômetro Gay Lussac é um instrumento destinado a medir o teor de álcool, em porcentagem de volume (v/v), de soluções de água e álcool na faixa de 0 °GL a 100 °GL, com divisões de 0,1 °GL. A concepção do alcoolômetro se baseia no princípio de flutuabilidade de Arquimedes, semelhante ao funcionamento de um densímetro. A escala do instrumento é aferida a 20 °C, sendo necessária a correção da medida, caso a temperatura da solução não esteja na temperatura de aferição. É apresentada parte da tabela de correção de um alcoolômetro, com a temperatura.

Manual alcoolômetro Gay Lussac. Disponível em: www.incoterm.com.br. Acesso em: 4 dez. 2018 (adaptado).
É necessária a correção da medida do instrumento, pois um aumento na temperatura promove o(a)
Questão 4
O Prêmio Nobel de Química de 2000 deveu-se à descoberta e ao desenvolvimento de polímeros condutores. Esses materiais têm ampla aplicação em novos dispositivos eletroluminescentes (LEDs), células fotovoltaicas etc. Uma propriedade-chave de um polímero condutor é a presença de ligações duplas conjugadas ao longo da cadeia principal do polímero.
ROCHA FILHO, R. C. Polímeros condutores: descoberta e aplicações. Química Nova na Escola, n. 12, 2000 (adaptado).
Um exemplo desse polímero é representado pela estrutura
Questão 5
Estudo aponta que a extinção de preguiças-gigantes, cuja base da dieta eram frutos e sementes, provocou impactos consideráveis na vegetação do Pantanal brasileiro. A flora, embora não tenha desaparecido, tornou-se menos abundante que no passado, além de ocupar áreas mais restritas.
BICUDO, F. Jardineiros da pesada. Ecologia. Pesquisa Fapesp, ed. 231, maio 2015 (adaptado).
O evento descrito com a flora ocorreu em razão da redução
Questão 6
Carros elétricos estão cada vez mais baratos, no entanto, os órgãos governamentais e a indústria se preocupam com o tempo de recarga das baterias, que é muito mais lento quando comparado ao tempo gasto para encher o tanque de combustível. Portanto, os usuários de transporte individual precisam se conscientizar dos ganhos ambientais dessa mudança e planejar com antecedência seus percursos, pensando em pausas necessárias para recargas.
Após realizar um percurso de 110 km, um motorista pretende recarregar as baterias de seu carro elétrico, que tem um desempenho médio de 5,0 km/kWh, usando um carregador ideal que opera a uma tensão de 220 V e é percorrido por uma corrente de 20 A.
Quantas horas são necessárias para recarregar a energia utilizada nesse percurso?
Questão 7
Nas angiospermas, além da fertilização da oosfera, existe uma segunda fertilização que resulta num tecido triploide.
Essa segunda fertilização foi importante evolutivamente, pois viabilizou a formação de um tecido de
Questão 8
Com o objetivo de proporcionar aroma e sabor a diversos alimentos, a indústria alimentícia se utiliza de flavorizantes. Em geral, essas substâncias são ésteres, como as apresentadas no quadro.

O aroma do flavorizante derivado do ácido etanoico e que apresenta cadeia carbônica saturada é de
Questão 9
O eletrocardiograma é um exame cardíaco que mede a intensidade dos sinais elétricos advindos do coração. A imagem apresenta o resultado típico obtido em um paciente saudável e a intensidade do sinal (VEC ) em função do tempo.

De acordo com o eletrocardiograma apresentado, qual foi o número de batimentos cardíacos por minuto desse paciente durante o exame?
Questão 10
Entre 2014 e 2016, as regiões central e oeste da África sofreram uma grave epidemia de febre hemorrágica causada pelo vírus ebola, que se manifesta em até 21 dias após a infecção e cuja taxa de letalidade (enfermos que vão a óbito) pode chegar a 90%. Em regiões de clima tropical e subtropical, um outro vírus também pode causar febre hemorrágica: o vírus da dengue, que, embora tenha período de incubação menor (até 10 dias), apresenta taxa de letalidade abaixo de 1%.
Disponível em: www.who.int. Acesso em: 1 fev. 2017 (adaptado).
Segundo as informações do texto e aplicando princípios de evolução biológica às relações do tipo patógeno-hospedeiro, qual dos dois vírus infecta seres humanos há mais tempo?
Questão 11
A imagem apresenta as etapas do funcionamento de uma estação individual para tratamento do esgoto residencial.
TAVARES, K. Estações de tratamento de esgoto individuais permitem a reutilização da água. Disponível em: https://extra.globo.com. Acesso em: 18 nov. 2014 (adaptado).
Em qual etapa decanta-se o lodo a ser separado do esgoto residencial?
Questão 12
O plantio por estaquia é um método de propagação de plantas no qual partes de um espécime são colocadas no solo para produzir novas gerações. Na floricultura, é comum utilizar o caule das roseiras para estaquia, pois a propagação da planta é positiva em razão da aplicação de auxinas na porção inferior do caule.
A utilização de auxinas no método de estaquia das roseiras contribui para
Questão 13
A icterícia, popularmente conhecida por amarelão, é uma patologia frequente em recém-nascidos. Um bebê com icterícia não consegue metabolizar e excretar de forma eficiente a bilirrubina. Com isso, o acúmulo dessa substância deixa-o com a pele amarelada. A fototerapia é um tratamento da icterícia neonatal, que consiste na irradiação de luz no bebê. Na presença de luz, a bilirrubina é convertida no seu isômero lumirrubina que, por ser mais solúvel em água, é excretada pela bile ou pela urina. A imagem ilustra o que ocorre nesse tratamento.
MOREIRA, M. et al. O recém-nascido de alto risco: teoria e prática do cuidar [on-line]. Rio de Janeiro: Fiocruz, 2004 (adaptado).

WANG, J. et. al. Challenges of phototherapy for neonatal hyperbilirubinemia (Review). Experimental and Therapeutic Medicine, n. 21, 2021 (adaptado).
Na fototerapia, a luz provoca a conversão da bilirrubina no seu isômero
Questão 14
Analisando a ficha técnica de um automóvel popular, verificam-se algumas características em relação ao seu desempenho. Considerando o mesmo automóvel em duas versões, uma delas funcionando a álcool e outra, a gasolina, tem-se os dados apresentados no quadro, em relação ao desempenho de cada motor.

Considerando desprezível a resistência do ar, qual versão apresenta a maior potência?
Questão 15
Um garoto precisa montar um circuito que acenda três lâmpadas de cores diferentes, uma de cada vez. Ele dispõe das lâmpadas, de fios, uma bateria e dois interruptores, como ilustrado, junto com seu símbolo de três pontos. Quando esse interruptor fecha AB, abre BC e vice-versa.

O garoto fez cinco circuitos elétricos usando os dois interruptores, mas apenas um satisfaz a sua necessidade. Esse circuito é representado por
Questão 16
O emprego de células de combustível a hidrogênio pode ser uma tecnologia adequada ao transporte automotivo. O quadro apresenta características de cinco tecnologias mais proeminentes de células de combustível.

Testes operacionais com esses tipos de células têm indicado que as melhores alternativas para veículos são as que operam em baixos níveis de energia térmica, são formadas por membranas de eletrólitos poliméricos e ocorrem em meio ácido.
THOMAS, S; ZALBOWITZ, M. Full cells: green power. Los Alamos National Laboratory. Los Alamos, NM, 1999 (adaptado).
A tecnologia testada mais adequada para o emprego em veículos automotivos é a célula de combustível
Questão 17
Considere a tirinha, na situação em que a temperatura do ambiente é inferior à temperatura corporal dos

WATTERSON, B. Disponível em: https://novaescola.org.br. Acesso em: 11 ago. 2014.
O incômodo mencionado pelo personagem da tirinha deve-se ao fato de que, em dias úmidos,
Questão 18
As águas subterrâneas têm sido contaminadas pelo uso de pesticidas na agricultura. Entre as várias substâncias usualmente encontradas, algumas são apresentadas na figura. A distinção dessas substâncias pode ser feita por meio de uma análise química qualitativa, ou seja, determinando sua presença mediante a adição de um reagente específico. O hidróxido de sódio é capaz de identificar a presença de um desses pesticidas pela reação ácido-base de Brönsted-Lowry.
O teste positivo será observado com o pesticida
Questão 19
Com o aumento da população de suínos no Brasil, torna-se necessária a adoção de métodos para reduzir o potencial poluidor dos resíduos dessa agroindústria, uma vez que, comparativamente ao esgoto doméstico, os dejetos suínos são 200 vezes mais poluentes. Sendo assim, a utilização desses resíduos como matéria-prima na obtenção de combustíveis é uma alternativa que permite diversificar a matriz energética nacional, ao mesmo tempo em que parte dos recursos hídricos do país são preservados.
BECK, A. M. Resíduos suínos como alternativa energética sustentável. XXVII Encontro Nacional de Engenharia de Produção. Anais ENEGEP, Foz do Iguaçu, 2007 (adaptado).
O biocombustível a que se refere o texto é o
Questão 20
A curcumina, uma das substâncias que confere a cor alaranjada ao açafrão, pode auxiliar no combate à dengue quando adicionada à água de criadouros do mosquito transmissor. Essa substância acumula-se no intestino do inseto após ser ingerida com a água do criadouro e, quando ativada pela luz, induz a produção de espécies reativas de oxigênio que danificam de forma fatal o tecido do tubo digestório.
TOLEDO, K. Corante extraído do açafrão pode ser útil no combate à dengue. Disponível em: http://agencia.fapesp.br. Acesso em: 25 abr. 2015 (adaptado).
A forma de combate relatada tem como atividade o(a)
Questão 21
Na cidade de São Paulo, as ilhas de calor são responsáveis pela alteração da direção do fluxo da brisa marítima que deveria atingir a região de mananciais. Mas, ao cruzar a ilha de calor, a brisa marítima agora encontra um fluxo de ar vertical, que  transfere para ela energia térmica absorvida das superfícies quentes da cidade, deslocando-a para altas altitudes. Dessa maneira, há condensação e chuvas fortes no centro da cidade, em vez de na região de mananciais. A imagem apresenta os três subsistemas que trocam energia nesse fenômeno.
No processo de fortes chuvas no centro da cidade de São Paulo, há dois mecanismos dominantes de transferência de calor: entre o Sol e a ilha de calor, e entre a ilha de calor e a brisa marítima.
VIVEIROS, M. Ilhas de calor afastam chuvas de represas. Disponível em: www2.feis.unesp.br. Acesso em: 3 dez. 2019 (adaptado).
Esses mecanismos são, respectivamente,
Questão 22
No seu estudo sobre a queda dos corpos, Aristóteles afirmava que se abandonarmos corpos leves e pesados de uma mesma altura, o mais pesado chegaria mais rápido ao solo. Essa ideia está apoiada em algo que é difícil de refutar, a observação direta da realidade baseada no senso comum.
Após uma aula de física, dois colegas estavam discutindo sobre a queda dos corpos, e um tentava convencer o outro de que tinha razão:
Colega A: “O corpo mais pesado cai mais rápido que um menos pesado, quando largado de uma mesma altura. Eu provo, largando uma pedra e uma rolha. A pedra chega antes. Pronto! Tá provado!”.
Colega B: “Eu não acho! Peguei uma folha de papel esticado e deixei cair. Quando amassei, ela caiu mais rápido. Como isso é possível? Se era a mesma folha de papel, deveria cair do mesmo jeito. Tem que ter outra explicação!”.
HÜLSENDEGER, M. Uma análise das concepções dos alunos sobre a queda dos corpos. Caderno Brasileiro de Ensino de Física, n. 3, dez. 2004 (adaptado).
O aspecto físico comum que explica a diferença de comportamento dos corpos em queda nessa discussão é o(a)
Questão 23
A obtenção de etanol utilizando a cana-de-açúcar envolve a fermentação dos monossacarídeos formadores da sacarose contida no melaço. Um desses formadores é a glicose (C6H12O6), cuja fermentação produz cerca de 50 g de etanol a partir de 100 g de glicose, conforme a equação química descrita.

Em uma condição específica de fermentação, obtém-se 80% de conversão em etanol que, após sua purificação, apresenta densidade igual a 0,80 g/mL. O melaço utilizado apresentou 50 kg de monossacarídeos na forma de glicose.
O volume de etanol, em litro, obtido nesse processo é mais próximo de
Questão 24
Com o objetivo de identificar a melhor espécie produtora de madeira para construção (com resistência mecânica e à degradação), foram analisadas as estruturas anatômicas de cinco espécies, conforme o quadro.
 Legenda: (−) ausente, (+) presente em pequena quantidade, (++) presente em média quantidade, (+++) presente em grande quantidade.
Legenda: (−) ausente, (+) presente em pequena quantidade, (++) presente em média quantidade, (+++) presente em grande quantidade.
Qual espécie corresponde ao objetivo proposto?
Questão 25
No outono, as folhas das árvores mudam de cor, de verde para tons de amarelo, castanho, laranja e vermelho. A cor verde das folhas deve-se ao pigmento clorofila. Nas plantas de folhas caducas, a produção de clorofila diminui e o tom verde desvanece, permitindo assim que outros pigmentos, como o caroteno, de coloração amarelo-alaranjado, e a antocianina, de tons avermelhados, passem a dominar a tonalidade das folhas. A coloração observada se dá em função da interação desses pigmentos com a radiação solar.
Conforme apresentado no espectro de absorção, as moléculas de clorofila absorvem a radiação solar nas regiões do azul e do vermelho, assim a luz refletida pelas folhas tem falta desses dois tons e as vemos na cor verde. Já as antocianinas absorvem a luz desde o azul até o verde. Nesse caso, a luz refletida pelas folhas que contêm antocianinas aparece conforme as cores complementares, ou seja, vermelho-alaranjado.
Disponível em: https://vidauniversoydemas.wordpress.com. Acesso em: 6 dez. 2017 (adaptado).
Em qual faixa do espectro visível os carotenos absorvem majoritariamente?
Questão 26
TEXTO I
No cordel intitulado Senhor dos Anéis, de autoria de Gonçalo Ferreira da Silva, lê-se a sextilha:
A distância em relação 
Ao nosso planeta amado
Pouco menos que a do Sol 
Ele está distanciado
E menos denso que a água 
Quando no normal estado
MEDEIROS, A.; AGRA, J. T. M., A astronomia na literatura de cordel, Física na Escola, n. 1, abr. 2010 (fragmento).
TEXTO II
Distâncias médias dos planetas ao Sol e suas densidades médias

u.a. = 149 600 000 km, é a unidade astronômica, *Planeta clássico, **Planeta-anão
Características dos planetas. Disponível em: www.astronoo.com. Acesso em: 8 nov. 2019 (adaptado).
Considerando os versos da sextilha e as informações da tabela, a qual planeta o cordel faz referência?
Questão 27
Cientistas da Universidade de New South Wales, na Austrália, demonstraram em 2012 que a Lei de Ohm é válida mesmo para fios finíssimos, cuja área da seção reta compreende alguns poucos átomos. A tabela apresenta as áreas e comprimentos de alguns dos fios construídos (respectivamente com as mesmas unidades de medida). Considere que a resistividade mantém-se constante para todas as geometrias (uma aproximação confirmada pelo estudo).

WEBER, S. B. et al. Ohm’s Law Survives to the Atomic Scale. Science, n. 335, jan. 2012 (adaptado).
As resistências elétricas dos fios, em ordem crescente, são
Questão 28
Organismos autótrofos e heterótrofos realizam processos complementares que associam os ciclos do carbono e do oxigênio. O carbono fixado pela energia luminosa ou a partir de compostos inorgânicos é eventualmente degradado pelos organismos, resultando em fontes de carbono como metano ou gás carbônico. Ainda, outros compostos orgânicos são catabolizados pelos seres, com menor rendimento energético, produzindo compostos secundários (subprodutos) que podem funcionar como combustíveis ambientais.
O processo metabólico associado à expressão combustíveis ambientais é a
Questão 29
Um técnico analisou um lote de analgésicos que supostamente estava fora das especificações. A composição prevista era 100 mg de ácido acetilsalicílico por comprimido (princípio ativo, cuja estrutura está apresentada na figura), além do amido e da celulose (componentes inertes). O técnico realizou os seguintes testes:
- obtenção da massa do comprimido; 
- medição da densidade do comprimido; 
- verificação do pH com papel indicador; 
- determinação da temperatura de fusão do comprimido; 
- titulação com solução aquosa de NaOH. 
Após a realização dos testes, o lote do medicamento foi reprovado porque a quantidade de ácido acetilsalicílico por comprimido foi de apenas 40% da esperada.

O teste que permitiu reprovar o lote de analgésicos foi o de número
Questão 30
O rompimento da barragem de rejeitos de mineração no município mineiro de Mariana e o derramamento de
produtos tóxicos nas águas do Rio Doce, ocorridos em C 2015,  ainda  têm  consequências para os organismos
que habitam o Parque Nacional Marinho de Abrolhos, localizado a mais de 1 000 quilômetros de distância. Esse desastre ambiental afetou o fitoplâncton, as esponjas, as algas macroscópicas, os peixes herbívoros e os golfinhos.
FRAINER, G.; SICILIANO, S.; TAVARES, D. C. Franciscana calls for help: [...].
International Whaling Commission, Conference Paper, jun. 2016 (adaptado).
Concentrações mais elevadas dos compostos citados são encontradas em
Questão 31
Duas esferas carregadas com cargas iguais em módulo e sinais contrários estão ligadas por  uma haste rígida isolante na forma de haltere. O sistema se movimenta sob ação da gravidade numa região que tem um campo magnético horizontal uniforme   , da esquerda para a direita. A imagem apresenta o sistema visto de cima para baixo, no mesmo sentido da aceleração da gravidade
 , da esquerda para a direita. A imagem apresenta o sistema visto de cima para baixo, no mesmo sentido da aceleração da gravidade  que atua na região.
  que atua na região.

Visto de cima, o diagrama esquemático das forças magnéticas que atuam no sistema, no momento inicial em que as cargas penetram na região de campo magnético, está representado em
Questão 32
Uma escola iniciou o processo educativo para implantação da coleta seletiva e destino de materiais recicláveis. Para atingir seus objetivos, a instituição planejou:
- sensibilizar a comunidade escolar, desenvolvendo atividades em sala e extraclasse de maneira contínua; 
- capacitar o pessoal responsável pela limpeza da escola quanto aos novos procedimentos adotados com a coleta seletiva; e 
- distribuir coletores de materiais recicláveis específicos nas salas, pátio e outros ambientes para acondicionamento dos resíduos. 
Para completar a ação proposta no ambiente escolar, o que falta ser inserido no planejamento?
Questão 33
Os búfalos são animais considerados rústicos pelos criadores e, por isso, são deixados no campo sem controle reprodutivo. Por causa desse tipo de criação, a consanguinidade é favorecida, proporcionando o aparecimento de enfermidades, como o albinismo, defeitos cardíacos, entre outros. Separar os animais de forma adequada minimizaria a ocorrência desses problemas.
DAMÉ, M. C. F.; RIET-CORREA, F.; SCHILD, A. L. Pesq. Vet. Bras., n. 7, 2013 (adaptado).
Qual procedimento biotecnológico prévio é recomendado nessa situação?
Questão 34
O ciclo do cobre é um experimento didático em que o cobre metálico é utilizado como reagente de partida. Após uma sequência de reações (I, II, III, IV e V), o cobre retorna ao seu estado inicial ao final do ciclo.
A reação de redução do cobre ocorre na etapa
Questão 35
Um dos exames clínicos mais tradicionais para medir a capacidade reflexa dos indivíduos é o exame do reflexo patelar. Esse exame consiste na estimulação da patela, um pequeno osso localizado na parte anterior da articulação do joelho, com um pequeno martelo. A resposta reflexa ao estímulo é caracterizada pelo levantamento da perna em que o estímulo foi aplicado.
Qual região específica do sistema nervoso coordena essa resposta?
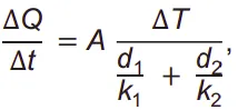
Questão 36
Na montagem de uma cozinha para um restaurante, a escolha do material correto para as panelas é importante, pois a panela que conduz mais calor é capaz de cozinhar os alimentos mais rapidamente e, com isso, há economia de gás. A taxa de condução do calor depende da condutividade k do material, de sua área A, da diferença de temperatura ΔT e da espessura d do material, sendo dada pela relação   . Em panelas com dois  materiais, a taxa de condução é dada por
. Em panelas com dois  materiais, a taxa de condução é dada por    em que d1 e d2  são as espessuras dos dois materiais, e k1 e k2 são as condutividades de cada material. Os materiais mais comuns no mercado para panelas são o alumínio (k = 20 W/m K), o ferro (k = 8 W/m K) e o aço (k = 5 W/m K) combinado com o cobre (k = 40 W/m K).
  em que d1 e d2  são as espessuras dos dois materiais, e k1 e k2 são as condutividades de cada material. Os materiais mais comuns no mercado para panelas são o alumínio (k = 20 W/m K), o ferro (k = 8 W/m K) e o aço (k = 5 W/m K) combinado com o cobre (k = 40 W/m K).
Compara-se uma panela de ferro, uma de alumínio e uma composta de da espessura em cobre e da espessura em aço, todas com a mesma espessura total e com a mesma área de fundo.
A ordem crescente da mais econômica para a menos econômica é
Questão 37
É possível ligar aparelhos elétricos de baixa corrente utilizando materiais comuns de laboratório no lugar das tradicionais pilhas. A ilustração apresenta uma montagem que faz funcionar um cronômetro digital.
Utilizando a representação de projetos elétricos, o circuito equivalente a esse sistema é
Questão 38
A figura foi extraída de um antigo jogo para computadores, chamado Bang! Bang!
No jogo, dois competidores controlam os canhões A e B, disparando balas alternadamente com o objetivo de atingir o canhão do adversário; para isso, atribuem valores estimados para o módulo da velocidade inicial de disparo   e para o ângulo de disparo θ.
  e para o ângulo de disparo θ.
Em determinado momento de uma partida, o competidor B deve disparar; ele sabe que a bala disparada anteriormente, θ = 53°, passou tangenciando o ponto P.
No jogo,  é igual a 10 m/s2. Considere sen 53° = 0,8, cos 53° = 0,6 e desprezível a ação de forças dissipativas.
  é igual a 10 m/s2. Considere sen 53° = 0,8, cos 53° = 0,6 e desprezível a ação de forças dissipativas.
Disponível em: http://mebdownloads.butzke.net.br. Acesso em: 18 abr. 2015 (adaptado).
Com base nas distâncias dadas e mantendo o último ângulo de disparo, qual deveria ser, aproximadamente, o menor valor de que permitiria ao disparo efetuado pelo canhão B atingir o canhão A?
Questão 39
Os pesticidas organoclorados foram amplamente empregados na agricultura, contudo, em razão das suas elevadas toxicidades e persistências no meio ambiente, eles foram banidos. Considere a aplicação de 500 g de um pesticida organoclorado em uma cultura e que, em certas condições, o tempo de meia-vida do pesticida no solo seja de 5 anos.
A massa do pesticida no decorrer de 35 anos será mais próxima de
Questão 40
A sequência de nucleotídeos do RNA mensageiro presentes em um gene de um fungo, constituída de sete códons, está escrita a seguir.
Pesquisadores submeteram a sequência a mutações independentes. Sabe-se que os códons UAG e UAA são terminais, ou seja, indicam a interrupção da tradução.
Qual mutação produzirá a menor proteína?
Questão 41
A simples atitude de não jogar direto no lixo ou no ralo da pia o óleo de cozinha usado pode contribuir para a redução da poluição ambiental. Mas o que fazer com o óleo vegetal que não será mais usado? Não existe um modelo ideal de descarte, mas uma alternativa simples tem sido reaproveitá-lo para fazer sabão. Para isso, são necessários, além do próprio óleo, água e soda cáustica.
LOBO, I. Sabão feito com óleo de cozinha. Disponível em: http://pga.pgr.mpf.gov.br. Acesso em: 29 fev. 2012 (adaptado).
Com base no texto, a reação química que permite o reaproveitamento do óleo vegetal é denominada
Questão 42
Durante o desenvolvimento embrionário humano ocorre uma comunicação entre os átrios direito e esquerdo através do forame oval (ou forame de Botal). Essa comunicação não causa prejuízos à circulação do bebê em formação, exceto se ela perdurar após o nascimento.
Os prejuízos no período embrionário são evitados porque a circulação fetal se assemelha à dos(as)
Questão 43
No cultivo por hidroponia, são utilizadas soluções nutritivas contendo macronutrientes e micronutrientes essenciais. Além dos nutrientes, o pH é um parâmetro de extrema importância, uma vez que ele afeta a preparação da solução nutritiva e a absorção dos nutrientes pelas plantas. Para o cultivo de alface, valores de pH entre 5,5 e 6,5 são ideais para o seu desenvolvimento. As correções de pH são feitas pela adição de compostos ácidos ou básicos, mas não devem introduzir elementos nocivos às plantas. Na tabela, são apresentados alguns dados da composição da solução nutritiva de referência para esse cultivo. Também é apresentada a composição de uma solução preparada por um produtor de cultivo hidropônico.

LENZI, E.; FAVERO, L. O. B.; LUCHESE, E. B. Introdução à química da água: ciência, vida e sobrevivência. Rio de Janeiro: LTC, 2012 (adaptado).
Para correção do pH da solução nutritiva preparada, esse produtor pode empregar uma solução de
Questão 44
O sino dos ventos é composto por várias barras metálicas de mesmo material e espessura, mas de comprimentos diferentes, conforme a figura.

Considere f1 e v1, respectivamente, como a frequência fundamental e a velocidade de propagação do som emitido pela barra de menor comprimento, e f2 e v2 são essas mesmas grandezas para o som emitido pela barra de maior comprimento.
As relações entre as frequências fundamentais e entre as velocidades de propagação são, respectivamente,
Questão 45
O polvo mimético apresenta padrões cromáticos e comportamentos muito curiosos. Frequentemente, muda a orientação de seus tentáculos, assemelhando-se a alguns animais. As imagens 1, 3 e 5 apresentam polvos mimetizando, respectivamente, um peixe-linguado (2), um peixe-leão (4) e uma serpente-marinha (6).

NORMAN, M. D.; FINN, J.; TREGENZA, T. Dynamic mimicry in an Indo-Malayan octopus. In: Proceedings of the Royal Society B: Biological Sciences, n. 268, out. 2001. Disponível em: www.researchgate.net. Acesso em: 15 mar. 2014 (adaptado).
Do ponto de vista evolutivo, a capacidade apresentada se estabeleceu porque os polvos
Simulado de Ciências da Natureza e suas Tecnologias (ENEM 2021). Toda Matéria, [s.d.]. Disponível em: https://www.todamateria.com.br/simulado-enem-para-praticar-ciencias-da-natureza-2021/. Acesso em:
 
                                     
     
        