Simulado de Ciências da Natureza e suas Tecnologias (ENEM 2022)
Treine com questões oficiais do ENEM 2022 da prova de Ciências da Natureza e suas Tecnologias (reunindo Biologia, Química e Física).
Este simulado reúne os itens que realmente caíram na prova, uma oportunidade para praticar, revisar conteúdos e se preparar melhor para o ENEM deste ano.
Siga estudando para o ENEM com mais simulados de Ciências da Natureza e suas Tecnologias.
Atenção às regras do simulado
- 4545 questões
- Duração máxima de 2h 30min
- Seu resultado e o gabarito ficarão disponíveis ao finalizar o simulado
Questão 1
Diversas substâncias são empregadas com a intenção de incrementar o desempenho esportivo de atletas de alto nível. O chamado doping sanguíneo, por exemplo, pela utilização da eritropoietina, é proibido pelas principais federações de esportes no mundo. A eritropoietina é um hormônio produzido pelos rins e fígado e sua principal ação é regular o processo de eritropoiese. Seu uso administrado intravenosamente em quantidades superiores àquelas presentes naturalmente no organismo permite que o indivíduo aumente a sua capacidade de realização de exercícios físicos.
Esse tipo de doping está diretamente relacionado ao aumento da
Questão 2
Em um autódromo, os carros podem derrapar em uma curva e bater na parede de proteção. Para diminuir o impacto de uma batida, pode-se colocar na parede uma barreira de pneus, isso faz com que a colisão seja mais demorada e o carro retorne com velocidade reduzida. Outra opção é colocar uma barreira de blocos de um material que se deforma, tornando-a tão demorada quanto a colisão com os pneus, mas que não permite a volta do carro após a colisão.
Comparando as duas situações, como ficam a força média exercida sobre o carro e a energia mecânica dissipada?
Questão 3
A penicilamina é um medicamento de uso oral utilizado no tratamento de várias doenças. Esse composto é excretado na urina, cujo pH se situa entre 5 e 7. A penicilamina, cuja fórmula estrutural plana está apresentada, possui três grupos funcionais que podem ser ionizados:
• carboxila: —COOH, cujo pKa é igual a 1,8;
• amino: —NH2, que pode ser convertido em amínio (—NH3 +, cujo pKa é igual a 7,9);
• tiol: —SH, cujo pKa é igual a 10,5. Sabe-se que pKa = −log Ka .
Sabe-se que pKa = −log Ka.
Penicilamina
Qual estrutura derivada da penicilamina é predominantemente encontrada na urina?
Questão 4
O protozoário Trypanosoma cruzi, causador da doença de Chagas, pode ser a nova arma da medicina contra o câncer. Pesquisadores brasileiros conseguiram criar uma vacina contra a doença usando uma variação do protozoário incapaz de desencadear a patologia (não patogênico). Para isso, realizaram uma modificação genética criando um T. cruzi capaz de produzir também moléculas fabricadas pelas células tumorais. Quando o organismo inicia o combate ao protozoário, entra em contato também com a molécula tumoral, que passa a ser vista também pelo sistema imune como um indicador de células do protozoário. Depois de induzidas as defesas, estas passam a destruir todas as células com a molécula tumoral, como se lutassem apenas contra o protozoário.
Disponível em: www.estadao.com.br. Acesso em: 1 mar. 2012 (adaptado).
Qual o mecanismo utilizado no experimento para enganar as células de defesa, fazendo com que ataquem o tumor?
Questão 5
O sinal sonoro oriundo da queda de um grande bloco de gelo de uma geleira é detectado por dois dispositivos situados em um barco, sendo que o detector A está imerso em água e o B, na proa da embarcação. Sabe-se que a velocidade do som na água é de 1 540 m/s e no ar é de 340 m/s.

Os gráficos indicam, em tempo real, o sinal sonoro detectado pelos dois dispositivos, os quais foram ligados simultaneamente em um instante anterior à queda do bloco de gelo. Ao comparar pontos correspondentes desse sinal em cada dispositivo, é possível obter informações sobre a onda sonora.

A distância L, em metro, entre o barco e a geleira é mais próxima de
Questão 6
Em 2002, um mecânico da cidade mineira de Uberaba (MG) teve uma ideia para economizar o consumo de energia elétrica e iluminar a própria casa num dia de sol. Para isso, ele utilizou garrafas plásticas PET com água e cloro, conforme ilustram as figuras. Cada garrafa foi fixada ao telhado de sua casa em um buraco com diâmetro igual ao da garrafa, muito maior que o comprimento de onda da luz. Nos últimos dois anos, sua ideia já alcançou diversas partes do mundo e deve atingir a marca de 1 milhão de casas utilizando a “luz engarrafada”.

ZOBEL, G. Brasileiro inventor de “luz engarrafada” tem ideia espalhada pelo mundo. Disponível em: www.bbc.com. Acesso em: 23 jun. 2022 (adaptado).
Que fenômeno óptico explica o funcionamento da “luz engarrafada”?
Questão 7
Os ursos, por não apresentarem uma hibernação verdadeira, acordam por causa da presença de termogenina, uma proteína mitocondrial que impede a chegada dos prótons até a ATP sintetase, gerando calor. Esse calor é importante para aquecer o organismo, permitindo seu despertar.
SADAVA, D. et al. Vida: a ciência da biologia. Porto Alegre: Artmed, 2009 (adaptado).
Em qual etapa do metabolismo energético celular a termogenina interfere?
Questão 8
Afim de classificar as melhores rotas em um aplicativo de trânsito, um pesquisador propõe um modelo com base em circuitos elétricos. Nesse modelo, a corrente representa o número de carros que passam por um ponto da pista no intervalo de 1 s. A diferença de potencial (d.d.p.) corresponde à quantidade de energia por carro necessária para o deslocamento de 1 m. De forma análoga à lei de Ohm, cada via é classificada pela sua resistência, sendo a de maior resistência a mais congestionada. O aplicativo mostra as rotas em ordem crescente, ou seja, da rota de menor para a de maior resistência. Como teste para o sistema, são utilizadas três possíveis vias para uma viagem de A até B, com os valores de d.d.p. e corrente conforme a tabela.

Nesse teste, a ordenação das rotas indicadas pelo aplicativo será:
Questão 9
O esquema representa o ciclo do nitrogênio:

A chuva ácida interfere no ciclo do nitrogênio, principalmente, por proporcionar uma diminuição do pH do solo e da atmosfera, alterando a concentração dos compostos presentes nesse ciclo.
Disponível em: http://scienceprojectideasforkids.com. Acesso em: 6 ago. 2012 (adaptado).
Em um solo de menor pH, será favorecida a formação de:
Questão 10
No processo de captação da luz pelo olho para a formação de imagens estão envolvidas duas estruturas celulares: os cones e os bastonetes. Os cones são sensíveis à energia dos fótons, e os bastonetes, à quantidade de fótons incidentes. A energia dos fótons que compõem os raios luminosos está associada à sua frequência, e a intensidade, ao número de fótons incidentes.
Um animal que tem bastonetes mais sensíveis irá
Questão 11
De modo geral, a palavra “aromático” invoca associações agradáveis, como cheiro de café fresco ou de um pão doce de canela. Associações similares ocorriam no passado da história da química orgânica, quando os compostos ditos “aromáticos” apresentavam um odor agradável e foram isolados de óleos naturais. À medida que as estruturas desses compostos eram elucidadas, foi se descobrindo que vários deles continham uma unidade estrutural específica. Os compostos aromáticos que continham essa unidade estrutural tornaram-se parte de uma grande família, muito mais com base em suas estruturas eletrônicas do que nos seus cheiros, como as substâncias a seguir, encontradas em óleos vegetais.





SOLOMONS, T. W. G.; FRYHLE, C. B. Química orgânica. Rio de Janeiro: LTC, 2009 (adaptado).
A característica estrutural dessa família de compostos é a presença de
Questão 12
Os resultados de um ensaio clínico randomizado na Indonésia apontaram uma redução de 77% dos casos de dengue nas áreas que receberam o mosquito Aedes aegypti infectado com a bactéria Wolbachia. Trata-se da mesma técnica utilizada no Brasil pelo Método Wolbachia, iniciativa conduzida pela Fundação Oswaldo Cruz — Fiocruz. Essa bactéria induz a redução da carga viral no mosquito e, consequentemente, o número de casos de dengue na área, sendo repassada por meio do cruzamento entre os insetos. Como essa bactéria é um organismo intracelular e o vírus também precisa entrar nas células para se reproduzir, ambos necessitarão de recursos comuns. COSTA, G. Agência Fiocruz de Notícias. Estudo confirma eficácia do Método Wolbachia para dengue.
Disponível em: https://portal.fiocruz.br. Acesso em: 3 jun. 2022 (adaptado)
Essa tecnologia utilizada no combate à dengue consiste na
Questão 13
A extinção de espécies é uma ameaça real que afeta diversas regiões do país. A introdução de espécies exóticas pode ser considerada um fator maximizador desse processo. A jaqueira (Artocarpus heterophyllus), por exemplo, é uma árvore originária da Índia e de regiões do Sudeste Asiático que foi introduzida ainda na era colonial e se aclimatou muito bem em praticamente todo o território nacional.
Casos como o dessa árvore podem provocar a redução da biodiversidade, pois elas
Questão 14
Em um dia de calor intenso, dois colegas estão a brincar com a água da mangueira. Um deles quer saber até que altura o jato de água alcança, a partir da saída de água, quando a mangueira está posicionada totalmente na direção vertical. O outro colega propõe então o seguinte experimento: eles posicionarem a saída de água da mangueira na direção horizontal, a 1 m de altura em relação ao chão, e então medirem a distância horizontal entre a mangueira e o local onde a água atinge o chão. A medida dessa distância foi de 3 m, e a partir disso eles calcularam o alcance vertical do jato de água. Considere a aceleração da gravidade de 10 m s-2.
O resultado que eles obtiveram foi de
Questão 15
O etanol é um combustível produzido a partir da fermentação da sacarose presente no caldo de cana-de-açúcar. Um dos fatores que afeta a produção desse álcool é o grau de deterioração da sacarose, que se inicia após o corte, por causa da ação de microrganismos. Foram analisadas cinco amostras de diferentes tipos de cana-de-açúcar e cada uma recebeu um código de identificação. No quadro são apresentados os dados de concentração de sacarose e de microrganismos presentes nessas amostras.

Pretende-se escolher o tipo de cana-de-açúcar que conterá o maior teor de sacarose 10 horas após o corte e que, consequentemente, produzirá a maior quantidade de etanol por fermentação. Considere que existe uma redução de aproximadamente 50% da concentração de sacarose nesse tempo, para cada 1,0 mg L−1 de microrganismos presentes na cana-de-açúcar.
Disponível em: www.inovacao.unicamp.br. Acesso em: 11 ago. 2012 (adaptado).
Qual tipo de cana-de-açúcar deve ser escolhido?
Questão 16
Entre as diversas técnicas para diagnóstico da covid-19, destaca-se o teste genético. Considerando as diferentes variantes e cargas virais, um exemplo é a PCR, reação efetuada por uma enzima do tipo polimerase. Essa técnica permite identificar, com confiabilidade, o material genético do SARS-CoV-2, um vírus de RNA. Para comprovação da infecção por esse coronavírus, são coletadas amostras de secreções do indivíduo. Uma etapa que antecede a reação de PCR precisa ser realizada para permitir a amplificação do material genético do vírus.
Essa etapa deve ser realizada para
Questão 17
Tribologia é o estudo da interação entre duas superfícies em contato, como desgaste e atrito, sendo de extrema importância na avaliação de diferentes produtos e de bens de consumo em geral. Para testar a conformidade de uma muleta, realiza-se um ensaio tribológico, pressionando-a verticalmente contra o piso com uma força , conforme ilustra a imagem, em que CM representa o centro de massa da muleta.

Mantendo-se a força paralela à muleta, varia-se lentamente o ângulo entre a muleta e a vertical, até o máximo ângulo imediatamente anterior ao de escorregamento, denominado ângulo crítico. Esse ângulo também pode ser calculado a partir da identificação dos pontos de aplicação, da direção e do sentido das forças peso , normal e de atrito estático ( e ) .
O esquema que representa corretamente todas as forças que atuam sobre a muleta quando ela atinge o ângulo crítico é:
Questão 18
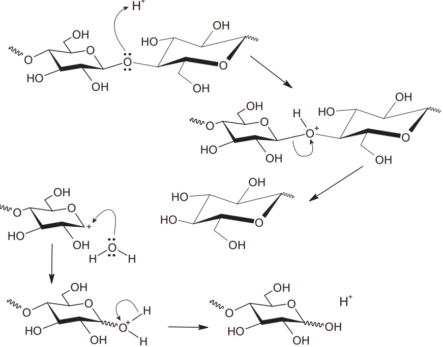
A biomassa celulósica pode ser utilizada para a produção de etanol de segunda geração. Entretanto, é necessário que os polissacarídeos sejam convertidos em mono e dissacarídeos, processo que pode ser conduzido em meio ácido, conforme mostra o esquema:

OGEDA, T. L.; PETRI, D. F. S. [...] Química Nova, n. 7, 2010 (adaptado).
Nessa conversão de polissacarídeos, a função do íon H+ é
Questão 19
O ácido tartárico é o principal ácido do vinho e está diretamente relacionado com sua qualidade. Na avaliação de um vinho branco em produção, uma analista neutralizou uma alíquota de 25,0 mL do vinho com NaOH a 0,10 mol L−1, consumindo um volume igual a 8,0 mL dessa base. A reação para esse processo de titulação é representada pela equação química:

A concentração de ácido tartárico no vinho analisado é mais próxima de:
Questão 20
O manual de uma ducha elétrica informa que seus três níveis de aquecimento (morno, quente e superquente) apresentam as seguintes variações de temperatura da água em função de sua vazão:

Utiliza-se um disjuntor para proteger o circuito dessa ducha contra sobrecargas elétricas em qualquer nível de aquecimento. Por padrão, o disjuntor é especificado pela corrente nominal igual ao múltiplo de 5 A imediatamente superior à corrente máxima do circuito. Considere que a ducha deve ser ligada em 220 V e que toda a energia é dissipada através da resistência do chuveiro e convertida em energia térmica transferida para a água, que apresenta calor específico de 4,2 J / g ºC e densidade de 1 000 g / L .
O disjuntor adequado para a proteção dessa ducha é especificado por:
Questão 21
Um grupo de alunos realizou um experimento para observar algumas propriedades dos ácidos, adicionando um pedaço de mármore (CaCO3 ) a uma solução aquosa de ácido clorídrico (HCl), observando a liberação de um gás e o aumento da temperatura.

O gás obtido no experimento é o:
Questão 22
Em 2002, foi publicado um artigo científico que relacionava alterações na produção de hormônios sexuais de sapos machos expostos à atrazina, um herbicida, com o desenvolvimento anômalo de seus caracteres sexuais primários e secundários. Entre os animais sujeitos à contaminação, observaram-se casos de hermafroditismo e desmasculinização da laringe. O estudo em questão comparou a concentração de um hormônio específico no sangue de machos expostos ao agrotóxico com a de outros machos e fêmeas que não o foram (controles). Os resultados podem ser vistos na figura.

HAYES, T. B. et al. Hermaphroditic, Demasculinized Frogs After Exposure to the Herbicide Atrazine at Low Ecologically Relevant Doses. Proceedings of the National Academy of Sciences, n. 8, 2002 (adaptado).
Com base nas informações do texto, qual é o hormônio cujas concentrações estão representadas na figura?
Questão 23
O veneno da cascavel pode causar hemorragia com risco de morte a quem é picado pela serpente. No entanto, pesquisadores do Brasil e da Bélgica desenvolveram uma molécula de interesse farmacêutico, a PEG-collineína-1, a partir de uma proteína encontrada no veneno dessa cobra, capaz de modular a coagulação sanguínea. Embora a técnica não seja nova, foi a primeira vez que o método foi usado a partir de uma toxina animal na sua forma recombinante, ou seja, produzida em laboratório por um fungo geneticamente modificado.
JULIÃO, A. Técnica modifica proteína do veneno de cascavel e permite criar fármaco que modula a coagulação sanguínea. Disponível em: https://agencia.fapesp.br. Acesso em: 22 nov. 2021 (adaptado).
Esse novo medicamento apresenta potencial aplicação para
Questão 24
Um Buraco Negro é um corpo celeste que possui uma grande quantidade de matéria concentrada em uma pequena região do espaço, de modo que sua força gravitacional é tão grande que qualquer partícula fica aprisionada em sua superfície, inclusive a luz. O raio dessa região caracteriza uma superfície-limite, chamada de horizonte de eventos, da qual nada consegue escapar. Considere que o Sol foi instantaneamente substituído por um Buraco Negro com a mesma massa solar, de modo que o seu horizonte de eventos seja de aproximadamente 3,0 km.
SCHWARZSCHILD, K. On the Gravitational Field of a Mass Point According to Einstein’s Theory. Disponível em: arxiv.org. Acesso em: 26 maio 2022 (adaptado).
Após a substituição descrita, o que aconteceria aos planetas do Sistema Solar?
Questão 25
Durante o ano de 2020, impulsionado pela necessidade de respostas rápidas e eficientes para desinfectar ambientes de possíveis contaminações com o SARS-CoV-2, causador da covid-19, diversas alternativas foram buscadas para os procedimentos de descontaminação de materiais e ambientes. Entre elas, o uso de ozônio em meio aquoso como agente sanitizante para pulverização em humanos e equipamentos de proteção em câmaras ou túneis, higienização de automóveis e de ambientes fechados e descontaminação de trajes. No entanto, pouca atenção foi dada à toxicidade do ozônio, à formação de subprodutos, ao nível de concentração segura e às precauções necessárias.
LIMA, M. J. A.; FELIX, E. P.; CARDOSO, A. A. Aplicações e implicações do ozônio na indústria, ambiente e saúde. Química Nova, n. 9, 2021 (adaptado).
O grande risco envolvido no emprego indiscriminado dessa substância deve-se à sua ação química como
Questão 26
Na figura está representado o mosaicismo em função da inativação aleatória de um dos cromossomos X, que ocorre em todas as mulheres sem alterações patológicas.

Entre mulheres heterozigotas para doenças determinadas por genes recessivos ligados ao sexo, essa inativação tem como consequência a ocorrência de
Questão 27
O físico Hans C. Oersted observou que um fio transportando corrente elétrica produz um campo magnético. A presença do campo magnético foi verificada ao aproximar uma bússola de um fio conduzindo corrente elétrica. A figura ilustra um fio percorrido por uma corrente elétrica i, constante e com sentido para cima. Os pontos A, B e C estão num plano transversal e equidistantes do fio. Em cada ponto foi colocada uma bússola.
Considerando apenas o campo magnético por causa da corrente i, as respectivas configurações das bússolas nos pontos A, B e C serão
Questão 28
O quadro mostra valores de corrente elétrica e seus efeitos sobre o corpo humano.

A corrente elétrica que percorrerá o corpo de um indivíduo depende da tensão aplicada e da resistência elétrica média do corpo humano. Esse último fator está intimamente relacionado com a umidade da pele, que seca apresenta resistência elétrica da ordem de 500 kΩ, mas, se molhada, pode chegar a apenas 1 kΩ.
Apesar de incomum, é possível sofrer um acidente utilizando baterias de 12 V. Considere que um indivíduo com a pele molhada sofreu uma parada respiratória ao tocar simultaneamente nos pontos A e B de uma associação de duas dessas baterias.
DURAN, J. E. R. Biofísica: fundamentos e aplicações. São Paulo: Pearson Prentice Hall, 2003 (adaptado).
Qual associação de baterias foi responsável pelo acidente?
Questão 29
O urânio é empregado como fonte de energia em reatores nucleares. Para tanto, o seu mineral deve ser refinado, convertido a hexafluoreto de urânio e posteriormente enriquecido, para aumentar de 0,7% a 3% a abundância de um isótopo específico — o urânio-235. Uma das formas de enriquecimento utiliza a pequena diferença de massa entre os hexafluoretos de urânio-235 e de urânio-238 para separá-los por efusão, precedida pela vaporização. Esses vapores devem efundir repetidamente milhares de vezes através de barreiras porosas formadas por telas com grande número de pequenos orifícios. No entanto, devido à complexidade e à grande quantidade de energia envolvida, cientistas e engenheiros continuam a pesquisar procedimentos alternativos de enriquecimento.
ATKINS, P.; JONES, L. Princípios de química: questionando a vida moderna e o meio ambiente. Porto Alegre: Bookman, 2006 (adaptado).
Considerando a diferença de massa mencionada entre os dois isótopos, que tipo de procedimento alternativo ao da efusão pode ser empregado para tal finalidade?
Questão 30
A Agência Nacional de Vigilância Sanitária (Anvisa) aprovou um produto de terapia gênica no país, indicado para o tratamento da distrofia hereditária da retina. O procedimento é recomendado para crianças acima de 12 meses e adultos com perda de visão causada pela mutação do gene humano RPE65. O produto, elaborado por engenharia genética, é composto por um vírus, no qual foi inserida uma cópia do gene normal humano RPE65 para corrigir o funcionamento das células da retina.
ANVISA. Disponível em: www.gov.br/anvisa. Acesso em: 4 dez. 2021 (adaptado).
O sucesso dessa terapia advém do fato de que o produto favorecerá a
Questão 31
A figura ilustra esquematicamente um processo de remediação de solos contaminados com tricloroeteno (TCE), um agente desengraxante. Em razão de vazamentos de tanques de estocagem ou de manejo inapropriado de resíduos industriais, ele se encontra presente em águas subterrâneas, nas quais forma uma fase líquida densa não aquosa (DNAPL) que se deposita no fundo do aquífero. Essa tecnologia de descontaminação emprega o íon persulfato (S2 O8 2−), que é convertido no radical •SO4 − por minerais que contêm Fe(III). O esquema representa de forma simplificada o mecanismo de ação química sobre o TCE e a formação dos produtos de degradação.
BERTAGI, L. T.; BASÍLIO, A. O.; PERALTA-ZAMORA, P. Aplicações ambientais de persulfato: remediação de águas subterrâneas e solos contaminados. Química Nova, n. 9, 2021 (adaptado).
Esse procedimento de remediação de águas subterrâneas baseia-se em reações de
Questão 32
De acordo com a Organização Mundial da Saúde, a filariose e a leishmaniose são consideradas doenças tropicais infecciosas e constituem uma preocupação para a saúde pública por ser alto o índice de mortalidade a elas associado.
Uma medida profilática comum a essas duas doenças é o(a)
Questão 33
Em 2017, foi inaugurado, no estado da Bahia, o Parque Solar Lapa, composto por duas usinas (Bom Jesus da Lapa e Lapa) e capaz de gerar cerca de 300 GWh de energia por ano. Considere que cada usina apresente potência igual a 75 MW, com o parque totalizando uma potência instalada de 150 MW. Considere ainda que a irradiância solar média é de 1 500 W/m² e que a eficiência dos painéis é de 20%.
Parque Solar Lapa entra em operação. Disponível em: www.canalbioenergia.com.br. Acesso em: 9 jun. 2022 (adaptado).
Nessas condições, a área total dos painéis solares que compõem o Parque Solar Lapa é mais próxima de:
Questão 34
Os riscos apresentados pelos produtos dependem de suas propriedades e da reatividade quando em contato com outras substâncias. Para prevenir os riscos devido à natureza química dos produtos, devemos conhecer a lista de substâncias incompatíveis e de uso cotidiano em fábricas, hospitais e laboratórios, a fim de observar cuidados na estocagem, manipulação e descarte. O quadro elenca algumas dessas incompatibilidades, que podem levar à ocorrência de acidentes.
Considere que houve o descarte indevido de dois conjuntos de substâncias:
(1) ácido clorídrico concentrado com cianeto de potássio;
(2) ácido nítrico concentrado com sacarose.
Disponível em: www.fiocruz.br. Acesso em: 6 dez. 2017 (adaptado).
O descarte dos conjuntos (1) e (2) resultará, respectivamente, em
Questão 35
Um pai faz um balanço utilizando dois segmentos paralelos e iguais da mesma corda para fixar uma tábua a uma barra horizontal. Por segurança, opta por um tipo de corda cuja tensão de ruptura seja 25% superior à tensão máxima calculada nas seguintes condições:
• O ângulo máximo atingido pelo balanço em relação à vertical é igual a 90°;
• Os filhos utilizarão o balanço até que tenham uma massa de 24 kg.
Além disso, ele aproxima o movimento do balanço para o movimento circular uniforme, considera que a aceleração da gravidade é igual a 10 m/s² e despreza forças dissipativas.
Qual é a tensão de ruptura da corda escolhida?
Questão 36
A nanotecnologia é responsável pelo aprimoramento de diversos materiais, incluindo os que são impactados com a presença de poluentes e da umidade na atmosfera, causadores de corrosão. O processo de corrosão é espontâneo e provoca a deterioração de metais como o ferro, que, em presença de oxigênio e água, sofre oxidação, conforme ilustra a equação química:
4 Fe (s) + 2 H2 O (l) + 3 O2 (g) → 2 Fe2 O3 ⋅H2 O (s)
Uma forma de garantir a durabilidade da estrutura metálica e a sua resistência à umidade consiste na deposição de filmes finos nanocerâmicos à base de zircônia (ZrO2 ) e alumina (Al2 O3 ) sobre a superfície do objeto que se deseja proteger.
CLEMENTE, G. A. B. F. et al. O uso de materiais híbridos ou nanocompósitos como revestimentos anticorrosivos do aço. Química Nova, n. 9, 2021 (adaptado).
Essa nanotecnologia aplicada na proteção contra a corrosão se baseia no(a)
Questão 37
As células da epiderme da folha da Tradescantia pallida purpurea, uma herbácea popularmente conhecida como trapoeraba-roxa, contém um vacúolo onde se encontra um pigmento que dá a coloração arroxeada a esse tecido. Em um experimento, um corte da epiderme de uma folha da trapoeraba-roxa foi imerso em ambiente hipotônico e, logo em seguida, foi colocado em uma lâmina e observado em microscópio óptico.
Durante a observação desse corte, foi possível identificar o(a)
Questão 38
A variação da incidência de radiação solar sobre a superfície da Terra resulta em uma variação de temperatura ao longo de um dia denominada amplitude térmica. Edificações e pavimentações realizadas nas áreas urbanas contribuem para alterar as amplitudes térmicas dessas regiões, em comparação com regiões que mantêm suas características naturais, com presença de vegetação e água, já que o calor específico do concreto é inferior ao da água. Assim, parte da avaliação do impacto ambiental que a presença de concreto proporciona às áreas urbanas consiste em considerar a substituição da área concretada por um mesmo volume de água e comparar as variações de temperatura devido à absorção da radiação solar nas duas situações (concretada e alagada). Desprezando os efeitos da evaporação e considerando que toda a radiação é absorvida, essa avaliação pode ser realizada com os seguintes dados:
ROMERO, M. A. B. et al. Mudanças climáticas e ilhas de calor urbanas. Brasília: UnB; ETB, 2019 (adaptado).
A razão entre as variações de temperatura nas áreas concretada e alagada é mais próxima de
Questão 39
O elemento iodo(I) tem função biológica e é acumulado na tireoide. Nos acidentes nucleares de Chernobyl e Fukushima, ocorreu a liberação para a atmosfera do radioisótopo 131I, responsável por enfermidades nas pessoas que foram expostas a ele. O decaimento de uma massa de 12 microgramas do isótopo 131I foi monitorado por 14 dias, conforme o quadro.
Após o período de 40 dias, a massa residual desse isótopo é mais próxima de
Questão 40
Desde a proposição da teoria de seleção natural por Darwin, os seres vivos nunca mais foram olhados da mesma forma. No que diz respeito à reprodução de anfíbios anuros, os cientistas já descreveram diferentes padrões reprodutivos, como os exemplificados a seguir:
Espécie 1 – As fêmeas produzem cerca de 5 000 gametas, que são fecundados na água, em lagoas temporárias de estação chuvosa. Todo o desenvolvimento embrionário, do ovo à metamorfose, ocorre, nesse ambiente, independente dos pais.
Espécie 2 – As fêmeas produzem aproximadamente 200 gametas, que são depositados em poças próximas a corpos-d’água. Os embriões são vigiados pelos machos durante boa parte do seu desenvolvimento.
Espécie 3 – As fêmeas produzem por volta de 20 gametas, que são fecundados sobre a superfície das folhas de plantas cujos galhos estão dispostos acima da superfície de corpos-d’água e aí se desenvolvem até a eclosão.
Espécie 4 – As fêmeas produzem poucos gametas que, quando fecundados, são “abocanhados” pelos machos. Os embriões se desenvolvem no interior do saco vocal do macho até a metamorfose, quando saem através da boca do pai.
Os padrões descritos evidenciam que
Questão 41
O eixo de rotação da Terra apresenta uma inclinação em relação ao plano de sua órbita em torno do Sol, interferindo na duração do dia e da noite ao longo do ano.
Uma pessoa instala em sua residência uma placa fotovoltaica, que transforma energia solar em elétrica. Ela monitora a energia total produzida por essa placa em 4 dias do ano, ensolarados e sem nuvens, e lança os resultados no gráfico.
Disponível em: www.fisica.ufpr.br. Acesso em: 27 maio 2022 (adaptado).
Próximo a que região se situa a residência onde as placas foram instaladas?
Questão 42
Uma lanterna funciona com três pilhas de resistência interna igual a 0,5 Ω cada, ligadas em série. Quando posicionadas corretamente, devem acender a lâmpada incandescente de especificações 4,5 W e 4,5 V. Cada pilha na posição correta gera uma f.e.m. (força eletromotriz) de 1,5 V. Uma pessoa, ao trocar as pilhas da lanterna, comete o equívoco de inverter a posição de uma das pilhas. Considere que as pilhas mantêm contato independentemente da posição.
Com esse equívoco, qual é a intensidade de corrente que passa pela lâmpada ao se ligar a lanterna?
Questão 43
Em uma aula prática de bioquímica, para medir a atividade catalítica da enzima catalase, foram realizados seis ensaios independentes, nas mesmas condições, variando-se apenas a temperatura. A catalase decompõe o peróxido de hidrogênio (H2O2), produzindo água e oxigênio. Os resultados dos ensaios estão apresentados no quadro.
Os diferentes resultados dos ensaios justificam-se pelo(a)
Questão 44
Antimicrobianos são substâncias naturais ou sintéticas que têm capacidade de matar ou inibir o crescimento de microrganismos. A tabela apresenta uma lista de antimicrobianos hipotéticos, bem como suas ações e efeitos sobre o metabolismo microbiano.
Qual dos antimicrobianos deve ser utilizado para curar uma infecção causada por um fungo sem afetar as bactérias da microbiota normal do organismo?
Questão 45
A água bruta coletada de mananciais apresenta alto índice de sólidos suspensos, o que a deixa com um aspecto turvo. Para se obter uma água límpida e potável, ela deve passar por um processo de purificação numa estação de tratamento de água. Nesse processo, as principais etapas são, nesta ordem: coagulação, decantação, filtração, desinfecção e fluoretação.
Qual é a etapa de retirada de grande parte desses sólidos?
Simulado de Ciências da Natureza e suas Tecnologias (ENEM 2022). Toda Matéria, [s.d.]. Disponível em: https://www.todamateria.com.br/simulado-enem-prova-de-ciencias-da-natureza-2022/. Acesso em: