Exercícios para o ENEM (28)
Foram encontradas 2456 questões
Uma família fez uma festa de aniversário e enfeitou o local da festa...
Uma família fez uma festa de aniversário e enfeitou o local da festa com bandeirinhas de papel. Essas bandeirinhas foram feitas da seguinte maneira: inicialmente, recortaram as folhas de papel em forma de quadrado, como mostra a Figura 1. Em seguida, dobraram as folhas quadradas ao meio sobrepondo os lados BC e AD, de modo que C e D coincidam, e o mesmo ocorra com A e B, conforme ilustrado na Figura 2. Marcaram os pontos médios O e N, dos lados FG e AF, respectivamente, e o ponto M do lado AD, de modo que AM seja igual a um quarto de AD. A seguir, fizeram cortes sobre as linhas pontilhadas ao longo da folha dobrada.

Após os cortes, a folha é aberta e a bandeirinha está pronta.
A figura que representa a forma da bandeirinha pronta é





O proprietário de um parque aquático deseja construir uma piscina em...
O proprietário de um parque aquático deseja construir uma piscina em suas dependências. A figura representa a vista superior dessa piscina, que é formada por três setores circulares idênticos, com ângulo central igual a 60°. O raio R deve ser um número natural.

O parque aquático já conta com uma piscina em formato retangular com dimensões 50 m x 24 m.
O proprietário quer que a área ocupada pela nova piscina seja menor que a ocupada pela piscina já existente.
Considere 3,0 como aproximação para π
O maior valor possível para R, em metros, deverá ser
16.
28.
29.
31.
49.
Uma família composta por sete pessoas adultas, após decidir o...
Uma família composta por sete pessoas adultas, após decidir o itinerário de sua viagem, consultou o site de uma empresa aérea e constatou que o voo para a data escolhida estava quase lotado. Na figura, disponibilizada pelo site, as poltronas ocupadas estão marcadas com X e as únicas poltronas disponíveis são as mostradas em branco.

O número de formas distintas de se acomodar a família nesse voo é calculado por
![]()

![]()


A insulina é utilizada no tratamento de pacientes com diabetes para o...
A insulina é utilizada no tratamento de pacientes com diabetes para o controle glicêmico. Para facilitar sua aplicação, foi desenvolvida uma “caneta" na qual pode ser inserido um refil contendo 3 mL de insulina, como mostra a imagem.

Para controle das aplicações, definiu-se a unidade de insulina como 0,01 mL. Antes de cada aplicação, é necessário descartar 2 unidades de insulina, de forma a retirar possíveis bolhas de ar.
A um paciente foram prescritas duas aplicações diárias: 10 unidades de insulina pela manhã e 10 à noite.
Qual o número máximo de aplicações por refil que o paciente poderá utilizar com a dosagem prescrita?
25
15
13
12
8
Uma indústria produz malhas de proteção solar para serem aplicadas...
Uma indústria produz malhas de proteção solar para serem aplicadas em vidros, de modo a diminuir a passagem de luz, a partir de fitas plásticas entrelaçadas perpendicularmente. Nas direções vertical e horizontal, são aplicadas fitas de 1 milímetro de largura, tal que a distância entre elas é de (d - 1) milímetros, conforme a figura. O material utilizado não permite a passagem da luz, ou seja, somente o raio de luz que atingir as lacunas deixadas pelo entrelaçamento consegue transpor essa proteção.
A taxa de cobertura do vidro é o percentual da área da região coberta pelas fitas da malha, que são colocadas paralelamente às bordas do vidro.

Essa indústria recebeu a encomenda de uma malha de proteção solar para ser aplicada em um vidro retangular de 5 m de largura por 9 m de comprimento.
A medida de d, em milímetros, para que a taxa de cobertura da malha seja de 75% é
2
1
11\3
4\3
2\3
Um pesquisador, ao explorar uma floresta, fotografou uma caneta de...
Um pesquisador, ao explorar uma floresta, fotografou uma caneta de 16,8 cm de comprimento ao lado de uma pegada. O comprimento da caneta (c), a largura (L) e o comprimento (C) da pegada, na fotografia, estão indicados no esquema.

A largura e o comprimento reais da pegada, centímetros, são, respectivamente, iguais a
4,9 e 7,6.
8,6 e 9,8.
14,2 e 15,4.
26.4 e 40,8.
27.5 e 42,5.
A expressão “Fórmula de Young" é utilizada para calcular a...
A expressão “Fórmula de Young" é utilizada para calcular a dose infantil de um medicamento, dada a dose do adulto:

Uma enfermeira deve administrar um medicamento X a uma criança inconsciente, cuja dosagem de adulto é de 60 mg. A enfermeira não consegue descobrir onde está registrada a idade da criança no prontuário, mas identifica que, algumas horas antes, foi administrada a ela uma dose de 14 mg de um medicamento Y, cuja dosagem de adulto é 42 mg. Sabe-se que a dose da medicação Y administrada à criança estava correta.
Então, a enfermeira deverá ministrar uma dosagem do medicamento X, em miligramas, igual a
15.
20
30
36
40
Para uma alimentação saudável, recomenda-se ingerir, em relação...
Para uma alimentação saudável, recomenda-se ingerir, em relação ao total de calorias diárias, 60% de carboidratos, 10% de proteínas e 30% de gorduras. Uma nutricionista, para melhorar a visualização dessas porcentagens, quer dispor esses dados em um polígono. Ela pode fazer isso em um triângulo equilátero, um losango, um pentágono regular, um hexágono regular ou um octógono regular, desde que o polígono seja dividido em regiões cujas áreas sejam proporcionais às porcentagens mencionadas. Ela desenhou as seguintes figuras:

Entre esses polígonos, o único que satisfaz as condições necessárias para representar a ingestão correta de diferentes tipos de alimentos é o
triângulo.
losango.
pentágono.
hexágono.
octógono.
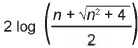
Um engenheiro projetou um automóvel cujos vidros das portas...
Um engenheiro projetou um automóvel cujos vidros das portas dianteiras foram desenhados de forma que suas bordas superiores fossem representadas pela curva de equação y = log (x), conforme a figura.

A forma do vidro foi concebida de modo que o eixo x sempre divida ao meio a altura h do vidro e a base do vidro seja paralela ao eixo x. Obedecendo a essas condições, o engenheiro determinou uma expressão que fornece a altura h do vidro em função da medida n de sua base, em metros.
A expressão algébrica que determina a altura do vidro é





Uma empresa de telefonia celular possui duas antenas que serão...
Uma empresa de telefonia celular possui duas antenas que serão substituídas por uma nova, mais potente. As áreas de cobertura das antenas que serão substituídas são círculos de raio 2 km, cujas circunferências se tangenciam no ponto O, como mostra a figura.

O ponto O indica a posição da nova antena, e sua região de cobertura será um círculo cuja circunferência tangenciará externamente as circunferências das áreas de cobertura menores.
Com a instalação da nova antena, a medida da área de cobertura, em quilômetros quadrados, foi ampliada em
8π
12π
16π
32π
64π