Exercícios para o ENEM (54)
Foram encontradas 2456 questões
A inclinação de um telhado depende do tipo e da marca das telhas...
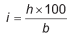
A inclinação de um telhado depende do tipo e da marca das telhas escolhidas. A figura é o esboço do telhado da casa de um específico proprietário. As telhas serão apoiadas sobre a superfície quadrada plana ABCD, sendo BOC um triângulo retângulo em O. Sabe-se que h é a altura do telhado em relação ao forro da casa (a figura plana ABOE), b = 10 é o comprimento do segmento OB, e d é a largura do telhado (segmento AB), todas as medidas dadas em metro.

Sabe-se que, em função do tipo de telha escolhida
pelo proprietário, a porcentagem i de inclinação ideal do
telhado, descrita por meio da relação
, é de
40%, e que a expressão que determina o número N de
telhas necessárias na cobertura é dada por N = d2 x 10,5.
Além disso, essas telhas são vendidas somente em
milheiros.
O proprietário avalia ser fundamental respeitar a inclinação ideal informada pelo fabricante, por isso argumenta ser necessário adquirir a quantidade mínima de telhas correspondente a
um milheiro.
dois milheiros.
três milheiros.
seis milheiros.
oito milheiros.
Uma pessoa possui um terreno em forma de um pentágono, como ilustrado...
Uma pessoa possui um terreno em forma de um pentágono, como ilustrado na figura.

Sabe-se que a diagonal AD mede 50 m e é paralela
ao lado BC, que mede 29 m. A distância do ponto B a AD
é de 8 m e a distância do ponto E a AD é de 20 m.
A área, em metro quadrado, deste terreno é igual a
658.
700.
816.
1 132.
1 632.
Dois amigos abriram um restaurante. No primeiro ano, o custo total com...
Dois amigos abriram um restaurante. No primeiro ano, o custo total com as despesas do restaurante chegou a 250 mil reais. A receita neste ano foi de 325 mil reais, obtendo assim um lucro de 75 mil reais (diferença entre a receita e o custo total). A tabela representa o custo total e a receita nos cinco primeiros anos.

De acordo com a tabela, a média anual do lucro, em milhar de real, ao longo dos cinco anos é
60.
70.
75.
80.
85.
A figura a seguir representa parte da planta de um loteamento, em que...
1 250
800
125
80
8
Em um jogo de tabuleiro, a pontuação é marcada com fichas...
Em um jogo de tabuleiro, a pontuação é marcada com fichas coloridas. Cada ficha vermelha vale um ponto. Três fichas vermelhas podem ser trocadas por uma azul, três fichas azuis podem ser trocadas por uma branca, e três fichas brancas podem ser trocadas por uma verde. Ao final do jogo, os jogadores A, B e C terminaram, cada um, com as quantidades de fichas, conforme a tabela seguinte:

De acordo com essa tabela, as classificações em primeiro, segundo e terceiro lugares ficaram, respectivamente, para os jogadores
A, B e C.
B, A e C.
C, B e A.
B, C e A.
C, A e B.
Em março de 2011, um terremoto de 9,0 graus de magnitude na escala...
Em março de 2011, um terremoto de 9,0 graus de
magnitude na escala Richter atingiu o Japão matando
milhares de pessoas e causando grande destruição.
Em janeiro daquele ano, um terremoto de 7,0 graus na
escala Richter atingiu a cidade de Santiago Del Estero,
na Argentina. A magnitude de um terremoto, medida
A
pela escala Richter, é
, em que A é a
amplitude do movimento vertical do solo, informado em
um sismógrafo, A0 é uma amplitude de referência e log
representa o logaritmo na base 10.
Disponível em: http://earthquake.usgs.gov. Acesso em: 28 fev. 2012 (adaptado).
A razão entre as amplitudes dos movimentos verticais dos terremotos do Japão e da Argentina é
1,28
2,0
109/7
100
109 - 107
A figura mostra uma anticlepsidra, que é um sólido geométrico...
A figura mostra uma anticlepsidra, que é um sólido geométrico obtido ao se retirar dois cones opostos pelos vértices de um cilindro equilátero, cujas bases coincidam com as bases desse cilindro. A anticlepsidra pode ser considerada, também, como o sólido resultante da rotação de uma figura plana em torno de um eixo.

A figura plana cuja rotação em torno do eixo indicado gera uma anticlepsidra como a da figura acima é





Um comerciante abrirá um supermercado, no mês de outubro, e precisa...
Um comerciante abrirá um supermercado, no mês de outubro, e precisa distribuir 5 produtos de limpeza em uma gôndola de cinco prateleiras que estão dispostas uma acima da outra (um tipo de produto por prateleira). Ele sabe que a terceira prateleira oferece uma melhor visibilidade dos produtos aos clientes.
Ele fez uma pesquisa sobre o número de vendas desses produtos, nos meses de agosto e setembro, em uma loja da concorrência (mostrada a seguir), e pretende incrementar suas vendas, em relação a seu concorrente, colocando na terceira prateleira de seu supermercado o produto que teve o maior índice de aumento nas vendas no mês de setembro em relação ao mês de agosto, na loja concorrente.

O comerciante deve colocar na terceira prateleira o produto número
I.
II.
III.
IV.
V.
Um brinquedo chamado pula-pula, quando visto de cima, consiste de uma...
Um brinquedo chamado pula-pula, quando visto de cima, consiste de uma cama elástica com contorno em formato de um hexágono regular.

Se a área do círculo inscrito no hexágono é 3π metros quadrados, então a área do hexágono, em metro quadrado, é
9
6√3
9√2
12
12√3
Um automóvel pode ser abastecido com os combustíveis A ou B e tem...
Um automóvel pode ser abastecido com os combustíveis A ou B e tem capacidade para armazenar T litro. O quadro indica os preços e mostra o rendimento desse automóvel, por litro, quando abastecido com esses combustíveis.

O dono desse automóvel estabelece duas estratégias de viagem. Em ambas ele irá abastecer duas vezes. O primeiro abastecimento é feito a partir do tanque vazio e o reabastecimento é feito quando o tanque esvaziar novamente.
1ª estratégia de viagem: abastecer meio tanque com o combustível A e depois abastecer um quarto de tanque com o combustível B.
2ª estratégia de viagem: abastecer meio tanque com o combustível B e depois abastecer um quarto de tanque com o combustível A.
O custo (C) da estratégia que possibilita percorrer a maior distância é




